next up previous
Next: 8. Diagonalizacja Up: Algebra liniowa II Previous: 6. Wyznacznik, zmiana bazy

7. Rzędy, diagonalizacja

W rozdziale 4 zdefiniowaliśmy rząd przekształcenia liniowego $F:V\rightarrow W$ jako $\mbox{rząd}(F)=\dim(Im(F))$. Załóżmy, że ${\cal B}=\{b_1,\dots,b_n\}$ i ${\cal C}=\{c_1,\dots,c_m\}$ są bazami przestrzeni $V$ i $W$ odpowiednio. Niech $\Phi:W\rightarrow R^m$ będzie izomorfizmem danym przez $\Phi(w)=[w]_{{\cal C}}$. Wynika stąd, że $\dim(Im(F))=\dim\left(\Phi\left[Im(F)\right]\right)$.

Na mocy uwagi 4.11, wektory $F(b_1),\dots,F(b_n)$ generują $Im(F)$, więc ich obrazy względem $\Phi$, tzn. wektory $[F(b_1)]_{{\cal C}},\dots,[F(b_n)]_{{\cal C}}$, generują $\Phi\left[Im(F)\right]$. Wektory te to kolumny macierzy $m_{{\cal B}{\cal C}}(F)$. Zatem $\mbox{rząd}(F)=\dim\left(\Phi\left[Im(F)\right]\right)$ $=$ liczba liniowo niezależnych kolumn macierzy $m_{{\cal B}{\cal C}}(F)$.

Dlatego przyjmujemy następującą definicję.

Definicja 7.1   Rzędem macierzy $A\in M_{m\times n}({\mathbb{R}})$ nazywamy liczbę liniowo niezależnych kolumn tej macierzy.

Powyżej udowodniliśmy

Fakt 7.2   $\mbox{rząd}(F)=\mbox{rząd}\left(m_{{\cal B}{\cal C}}(F)\right)$.

Problem. Jak praktycznie obliczyć rząd macierzy ?

By rozwiązać ten problem, udowodnimy najpierw następujące twierdzenie.

Twierdzenie 7.3   Liczba liniowo niezależnych kolumn macierzy $A=$ liczba liniowo niezależnych wierszy macierzy $A$.

Dowód. Niech $c$ oznacza liczbę liniowo niezależnych kolumn, zaś $r$ liczbę liniowo niezależnych wierszy macierzy $A$. Niech $A_1,\dots,A_n$ oznaczają kolejne kolumny, zaś $R_1,\dots,R_m$ kolejne wiersze macierzy $A$.

1) Pokażemy najpierw, że $c\leq r$. Wybierzmy liniowo niezależne wiersze $R_{i_1},\dots,R_{i_r}$. Utwórzmy z tych wierszy macierz

\begin{displaymath}B=\left[\begin{array}{c}R_{i_1} \vdots\\
R_{i_r}\end{array}\right]\end{displaymath}

wymiaru $r\times n$. Udowodnimy, że

\begin{displaymath}(*)  \mbox{rząd}(A)=\mbox{rząd}(B).\end{displaymath}

Mianowicie, niech $F_A:{\mathbb{R}}^n\rightarrow {\mathbb{R}}^m$ i $F_B:{\mathbb{R}}^n\rightarrow {\mathbb{R}}^r$ będą przekształceniami liniowymi o macierzach $A$ i $B$. Wówczas $Ker(F_A)=Ker(F_B)$, co pokazuje następujący ciąg równoważności

\begin{displaymath}X=\left[\begin{array}{c}x_1 \vdots x_n\end{array}\right]\...
...array}{c}R_1\cdot X=0 \vdots R_n\cdot
X=0\end{array}\right.\end{displaymath}

(wiersze $R_1,\dots,R_n$ są liniowymi kombinacjami wierszy $R_{i_1},\dots,R_{i_r}$)

\begin{displaymath}\iff\left\{\begin{array}{c}R_{i_1}\cdot X=0 \vdots R{i_r}...
...y}{c}x_1 \vdots\\
x_n\end{array}\right]=0\iff X\in Ker(F_B).\end{displaymath}

Na mocy twierdzenia 4.12,

\begin{displaymath}n=\dim({\mathbb{R}}^n)=\dim(Im(F_A))+\dim(Ker(F_A))\mbox{ i}\end{displaymath}


\begin{displaymath}n=\dim(Im(F_B))+\dim(Ker(F_B)).\end{displaymath}

Dlatego

\begin{displaymath}\mbox{rząd}(A)=\dim(Im(F_A))=n-dim(Ker(F_A))=\end{displaymath}


\begin{displaymath}n-\dim(Ker(F_B))=\dim(Im(F_B))=\mbox{rząd}(B),\end{displaymath}

dowodząc $(*)$.

Jednak z drugiej strony $\mbox{rząd}(B)\leq r$ (bo $\dim(Im(F_B))\leq r$), więc $c=\mbox{rząd}(A)\leq r$.

2) Powtarzając powyższe rozumowanie dla macierzy transponowanej $A^*$ dostajemy $r\leq c$. Dlatego $r=c$.


Wniosek 7.4   $\mbox{rząd}(A)=\mbox{rząd}(A^*)$.

Wniosek 7.5   $\mbox{rząd}(A)\geq k\iff$ macierz $A$ ma pewien niezerowy minor stopnia $k$.

Dowód. Niech $A_1,\dots,A_n$ oznaczają kolumny, zaś $R_1,\dots,R_m$ wiersze macierzy $A$.

$\Rightarrow.$ Załóżmy, że $\mbox{rząd}(A)\geq k$. Na mocy twierdzenia 7.3, możemy wybrać liniowo niezależne wiersze $R_{i_1},\dots,R_{i_k}$. Podobnie jak w dowodzie twierdzenia 7.3 tworzymy z tych wierszy macierz $B$ wymiaru $k\times n$, o kolumnach $B_1,\dots,B_n$. Zauważmy, że kolumny te są odpowiednimi fragmentami kolumn $A_1,\dots,A_n$.

Na mocy twierdzenia 7.3 możemy wybrać liniowo niezależne kolumny $B_{j_1},\dots,B_{j_k}$. Tworzą one macierz $(B_{j_1},\dots,B_{j_k})$ wymiaru $k\times k$, więc na mocy wniosku 4.14 i twierdzenia 5.13,

\begin{displaymath}(*)   \det(B_{j_1},\dots,B_{j_k})\neq 0.\end{displaymath}

Macierz $(B_{j_1},\dots,B_{j_k})$ powstaje z macierzy $A$ przez usunięcie z niej wierszy o numerach $\neq i_t$ i kolumn o numerach $\neq j_t, t=1,\dots,k$. Dlatego $(*)$ jest nieznikającym minorem stopnia $k$ macierzy $A$.

$\Leftarrow.$ Załóżmy, że po wyborze pewnych $k$ wierszy $i_1,\dots,i_k$ i $k$ kolumn $j_1,\dots,j_k$ powstanie macierz $(B_{j_1},\dots,B_{j_k})$ o wyznaczniku $\neq0$ (tzn. niezerowy minor). Znaczy to, że kolumny $B_{j_1},\dots,B_{j_k}$ są liniowo niezależne.

Pokażemy, że kolumny $A_{j_1},\dots,A_{j_k}$ też są liniowo niezależne, dowodząc tym samym, że $\mbox{rząd}(A)\geq k$.

Istotnie, zauważmy, że kolumny $B_{j_t}$ są odpowiednimi fragmentami kolumn $A_{j_t}$. Dlatego jeśli dla pewnych $s_t\in R$ mamy

\begin{displaymath}\sum_{t=1}^ks_tA_{j_t}=0,\end{displaymath}

to również

\begin{displaymath}\sum_{t=1}^ks_tB_{j_t}=0.\end{displaymath}

Z liniowej niezależności wektorów $B_{j_t}$ dostajemy, że wszystkie $s_t$ są równe $0$.


Widzimy więc, że dla obliczenia rzędu macierzy wystarczy obliczyć liczbę liniowo niezależnych wierszy. Poznamy teraz pewien szczególny rodzaj macierzy, dla ktorych jest to bardzo łatwe.

Definicja 7.6   Załóżmy, że $A=[a_{ij}]_{m\times n}$ jest macierzą.
1) Mówimy, że $a_{ij}$ jest wiodącym wyrazem w $i$-tym wierszu macierzy $A$, gdy $a_{ij}\neq 0$ i dla wszystkich $j'<j, a_{ij'}=0$. Jeśli $i$-ty wiersz jest zerowy, to nie ma w nim wyrazu wiodącego.
2) Mówimy, że macierz $A$ ma uporządkowane wiersze, gdy
a) jeśli $i$-ty wiersz macierzy $A$ jest zerowy oraz $i'>i$, to $i'$-ty wiersz też jest zerowy.
b) Jeśli $a_{ij}$ i $a_{i'j'}$ są wiodącymi wyrazami w swoich wierszach oraz $i<i'$, to $j<j'$.

Przykład Poniższa macierz ma uporządkowane wiersze.

\begin{displaymath}\left[\begin{array}{ccccc}1&0&2&0&0 0&0&1&0&1 0&0&0&2&2\\
0&0&0&0&0\end{array}\right].\end{displaymath}

W tym przypadku wiodące wyrazy to $a_{11},a_{23}$ i $a_{34}$.

Zauważmy, że rząd macierzy z uporządkowanymi wierszami $=$ liczba liniowo niezależnych wierszy $=$ liczba niezerowych wierszy.

Fakt 7.7   Następujące operacje nie zmieniają rzędu macierzy:
1) zamiana wierszy miejscami,
2) dodanie do wiersza skalarnej krotności innego wiersza,
3) pomnożenie wiersza przez skalar niezerowy.

Fakt 7.7 jest słuszny również dla tych samych operacji na kolumnach.

Używając operacji z faktu 7.7 (w istocie wystarcza operacja (2)) możemy każdą macierz sprowadzić do postaci z uporządkowanymi wierszami i w ten sposób obliczyć jej rząd.

Przykład

Obliczymy rząd macierzy

\begin{displaymath}A=\left[\begin{array}{cccc}1&2&3&1 2&1&2&0\\
3&3&5&1\end{array}\right].\end{displaymath}

W tym celu przekształcamy tę macierz używając operacji (2) z faktu 7.7.

\begin{displaymath}\left[\begin{array}{cccc}1&2&3&1 2&1&2&0\\
3&3&5&1\end{arr...
...ight]\!\!\!\begin{array}{l}\mbox{}\\
\mbox{} -[2]\end{array}\end{displaymath}


\begin{displaymath}\longrightarrow\left[\begin{array}{rrrr}1&2&3&1 0&-3&-4&-2\\
0&0&0&0\end{array}\right].\end{displaymath}

Ostatnia macierz ma już uporządkowane wiersze. Widzimy, że wyjściowa macierz $A$ ma rząd $2$.

Zastosowania.

1. Niech $A_1,\dots,A_k\in {\mathbb{R}}^n$. Wówczas $\dim(Lin(A_1,\dots,A_k))=$ rząd macierzy $(A_1,\dots,A_k)$, który możemy już łatwo obliczyć.

2. Niech ${\cal B}=\{b_1,\dots,b_n\}$ będzie bazą przestrzeni liniowej $V$ oraz $v_1,\dots,v_k\in V$. Wówczas używając izomorfizmu liniowego między $V$ i ${\mathbb{R}}^n$ dostajemy, że

\begin{displaymath}\dim(Lin(v_1,\dots,v_k))=\dim(Lin([v_1]_{{\cal B}},\dots,[v_k]_{{\cal B}})).\end{displaymath}

Ostatni wymiar umiemy już obliczyć używając metody z punktu 1.

W następnej uwadze podamy własności rzędu macierzy.

Uwaga 7.8   1) $\mbox{rząd}(AB)\leq \mbox{rząd}(A), \mbox{rząd}(AB)\leq \mbox{rząd}(B)$.
2) Jeśli $B$ jest odwracalna, to $\mbox{rząd}(AB)=\mbox{rząd}(A)$.
3) Jeśli $C$ jest odwracalna, to $\mbox{rząd}(CA)=\mbox{rząd}(A)$.

Dowód. 1) Niech $F_A:{\mathbb{R}}^n\rightarrow {\mathbb{R}}^r, F_B:{\mathbb{R}}^m\rightarrow
{\mathbb{R}}^n$ będą przekształceniami liniowymi o macierzach $A$ i $B$ oraz niech $F_{AB}=F_A\circ F_B$.

Na mocy faktu 7.2, $\mbox{rząd}(A)=\dim(Im(F_A)), \mbox{rząd}(B)=\dim(Im(F_B))$ i $\mbox{rząd}(AB)=\dim(Im(F_{AB}))$. Mamy

\begin{displaymath}Im(F_{AB})=Im(F_A\circ F_B)=F_A\left[F_B[{\mathbb{R}}^m]\right]\subset
F_A[{\mathbb{R}}^n]\subset Im(F_A),\end{displaymath}

więc $\mbox{rząd}(AB)=\dim(Im(F_{AB}))\leq\dim(Im(F_A))=\mbox{rząd}(A)$.

By dowieść, że $\mbox{rząd}(AB)\leq\mbox{rząd}(B)$, rozważmy bazę ${\cal B}$ podprzestrzeni $Im(F_B)=F_B[{\mathbb{R}}^m]$. Wtedy zbiór $F_A[{\cal B}]$ generuje przestrzeń $F_A[F_B[{\mathbb{R}}^m]]=Im(F_{AB})$ (uwaga 4.11). Dlatego

\begin{displaymath}\mbox{rząd}(AB)=\dim(Im(F_{AB}))\leq\vert{\cal B}\vert=\dim(Im(F_B))=\mbox{rząd}(B).\end{displaymath}

2) $(AB)\cdot B^{-1}=A$, więc na mocy (1),

\begin{displaymath}\mbox{rząd}(A)=\mbox{rząd}((AB)B^{-1})\leq\mbox{rząd}(AB)\leq\mbox{rząd}(A),\end{displaymath}

dlatego wszystkie słabe nierówności w tym ciągu są równościami.

Dowód (3) jest podobny.


Załóżmy, że przestrzeń $V$ ma wymiar skończony oraz $F:V\rightarrow V$ jest liniowe. Macierz $F$ w dowolnej bazie przestrzeni $V$ umożliwia nam wyliczanie obrazów wektorów przy przekształceniu $F$. Jednak obliczenia przy użyciu macierzy mogą być żmudne. Dlatego staramy się często znaleźć taką bazę ${\cal B}$ przestrzeni $V$, by macierz $m_{{\cal B}}(F)$ była możliwie najprostsza, najlepiej diagonalna, tzn. postaci

\begin{displaymath}\left[\begin{array}{cccc}a_1&0&\cdots&0 0& a_2&\cdots&0\\
\mbox{}&\mbox{}&\ddots&\mbox{} 0&0&\cdots&a_n\end{array}\right].\end{displaymath}

Będziemy się starali rozstrzygnąć następujący problem.

Problem. Czy istnieje baza ${\cal B}$ przestrzeni $V$ taka, że macierz $m_B(F)$ jest diagonalna ?

By rozwiązać ten problem, wprowadzamy następującą definicję.

Definicja 7.9   1) Załóżmy, że $\dim(V)<\infty$. Mówimy, że przekształcenie liniowe $F:V\rightarrow V$ jest diagonalizowalne $\iff m_{{\cal B}}(F)$ jest diagonalna dla pewnej bazy ${\cal B}\subset V$.
2) Macierz $A\in M_{n\times n}({\mathbb{R}})$ jest diagonalizowalna $\iff$ macierz $CAC^{-1}$ jest diagonalna dla pewnej odwracalnej macierzy $C\in M_{n\times n}({\mathbb{R}})$.

Definicję macierzy diagonalizowalnej uzasadnia twierdzenie 7.11 poniżej. W jego dowodzie będziemy potrzebowali następującego lematu.

Lemat 7.10   Załóżmy, że ${\cal B}=\{b_1,\dots,b_n\}$ jest bazą przestrzeni $V$ oraz $A$ jest macierzą odwracalną wymiaru $n\times n$. Wtedy
1) istnieje baza ${\cal C}=\{c_1,\dots,c_n\}$ przestrzeni $V$ taka, że $A=m_{{\cal B}{\cal C}}(id)$,
2) istnieje baza ${\cal D}=\{d_1,\dots,d_n\}$ przestrzeni $V$ taka, że $A=m_{{\cal D}{\cal B}}(id)$.

Dowód. Niech $A=[a_{ij}]_{n\times n}$. Na mocy 5.13 i 5.14, skoro $A$ jest odwracalna, to również $A^*$ jest odwracalna.

2) Definiujemy wektory $d_1,\dots,d_n\in V$ następującymi wzorami.

\begin{displaymath}\begin{array}{ccccccccc}
d_1&=&a_{11}b_1&+&a_{21}b_2&+&\cdots...
...\\
d_n&=&a_{1n}b_1&+&a_{2n}b_2&+&\cdots&+&a_{nn}b_n\end{array}\end{displaymath}

Stosując zwykłe reguły mnożenia kolumny przez macierz możemy ten układ równości zapisac jako

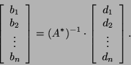
\begin{displaymath}\left[\begin{array}{c}d_1 d_2 \vdots\\
d_n\end{array}\ri...
...ft[\begin{array}{c}b_1 b_2\\
\vdots b_n\end{array}\right].\end{displaymath}

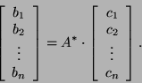
Skoro macierz $A^*$ jest odwracalna, to

\begin{displaymath}\left[\begin{array}{c}b_1 b_2 \vdots\\
b_n\end{array}\ri...
...ft[\begin{array}{c}d_1 d_2\\
\vdots d_n\end{array}\right].\end{displaymath}

Innymy słowy, wektory $b_1,\dots,b_n$ są liniowymi kombinacjami wektorów $d_1,\dots,d_n$. Dlatego zbiór ${\cal D}=\{d_1,\dots,d_n\}$ generuje $V$, więc jest bazą $V$ (gdyż $\dim(V)=n$). Ponadto $m_{{\cal D}{\cal B}}(id)=A$ (por. przykład po definicji 6.4).

1) Definiujemy wektory $c_1,\dots,c_n\in V$ tak, że

\begin{displaymath}\left[\begin{array}{c}c_1 c_2 \vdots\\
c_n\end{array}\ri...
...ft[\begin{array}{c}b_1 b_2\\
\vdots b_n\end{array}\right],\end{displaymath}

to znaczy

\begin{displaymath}\left[\begin{array}{c}b_1 b_2 \vdots\\
b_n\end{array}\ri...
...ft[\begin{array}{c}c_1 c_2\\
\vdots c_n\end{array}\right].\end{displaymath}

Wtedy ${\cal C}=\{c_1,\dots,c_n\}$ jest bazą przestrzeni $V$ i $A=m_{{\cal B}{\cal C}}(id)$ (podobnie jak w (2)).


Twierdzenie 7.11   Załóżmy, że $F:V\rightarrow V$ jest liniowe, $\dim(V)=n$ i ${\cal B}$ jest bazą $V$. Wtedy $F$ jest diagonalizowalne $\iff m_{{\cal B}}(F)$ jest diagonalizowalna.

Dowód. Niech $A=m_{{\cal B}{\cal B}}(F)$.

$\Rightarrow$. Niech ${\cal C}$ będzie bazą $V$ taką, że $m_{{\cal C}{\cal C}}(F)$ jest diagonalna. Wtedy na mocy uwagi 6.6,

\begin{displaymath}m_{{\cal C}{\cal C}}(F)=m_{{\cal B}{\cal C}}(id)m_{{\cal B}{\cal B}}(F)m_{{\cal C}{\cal B}}(id).\end{displaymath}

Dlatego macierz $CAC^{-1}$ jest diagonalna, gdzie $C=m_{{\cal B}{\cal C}}(id)$, czyli $A$ jest diagonalizowalna.

$\Leftarrow.$ Załóżmy, że dla pewnej macierzy odwracalnej $C$ macierz $CAC^{-1}$ jest diagonalna. Na mocy lematu 7.10(1) istnieje baza ${\cal C}$ przestrzeni $V$ taka, że ${\cal C}=m_{{\cal B}{\cal C}}(id)$ i $C^{-1}=m_{{\cal C}{\cal B}}(id)$. Na mocy uwagi 6.6 macierz

\begin{displaymath}m_{{\cal C}{\cal C}}(F)=m_{{\cal B}{\cal C}}(id)m_{{\cal B}{\cal B}}(F)m_{{\cal C}{\cal B}}(id)=CAC^{-1}\end{displaymath}

jest diagonalna, czyli $F$ jest diagonalizowalne.


By rozstrzygnąć, czy dane przekształcenie $F$ lub macierz $A$ są diagonalizowalne, będziemy potrzebowali kilku nowych pojęć.

Definicja 7.12   Załóżmy, że $F:V\rightarrow V$ jest liniowe, zaś $A$ jest macierzą wymiaru $n\times n$.
1) Jeśli dla pewnego niezerowego $v_0\in V, F(v_0)=tv_0$ dla pewnego $t\in {\mathbb{R}}$, to skalar $t$ nazywamy wartością własną przekształcenia $F$, zaś wektor $v_0$ wektorem własnym $F$ dla wartości własnej $t$.
2) Jeśli $t$ jest wartością własną $F$, to przyjmujemy, że $O$ jest również wektorem własnym $F$ dla wartości własnej $t$.
3) Jeśli dla pewnego niezerowego wektora $X_0\in {\mathbb{R}}^n, AX_0=tX_0$ dla pewnego $t\in R$, to $t$ nazywamy wartością własną macierzy $A$, zaś $X_0$ wektorem własnym macierzy $A$ dla wartości własnej $t$.
4) Jeśli $t$ jest wartością własną $A$, to przyjmujemy, że również wektor $O\in {\mathbb{R}}^n$ jest wektorem własnym $A$ dla wartości własnej $t$.

Fakt 7.13   Załóżmy, że $\dim(V)<\infty$. Wtedy $F\in End(V)$ jest diagonalizowalne $\iff$ istnieje baza ${\cal B}$ przestrzeni $V$ złożona z wektorów własnych $F$.

Dowód. $\Leftarrow.$ Załóżmy, że ${\cal B}=\{b_1,\dots,b_n\}$ jest bazą $V$ złożoną z wektorów własnych $F$, tzn. $F(b_i)=t_ib_i$ dla pewnych $t_i\in {\mathbb{R}}$. Dlatego macierz

\begin{displaymath}(*)  m_{{\cal B}{\cal B}}(F)=\left[\begin{array}{cccc}t_1&0...
...ox{}&\mbox{}&\ddots&\mbox{}\\
0&0&\cdots&t_n\end{array}\right]\end{displaymath}

jest diagonalna, czyli $F$ jest diagonalizowalne.

$\Rightarrow.$ Załóżmy, że $F$ jest diagonalizowalne, tzn. dla pewnej bazy ${\cal B}=\{b_1,\dots,b_n\}$ przestrzeni $V$ macierz $F$ w tej bazie jest diagonalna, czyli jest postaci $(*)$. Zwróćmy uwagę, że wówczas wszystkie wektory bazy ${\cal B}$ są wektorami własnymi przekształcenia $F$ (dla kolejnych wartości własnych $t_1,t_2,\dots,t_n$).


Przykład. Nie każde przekształcenie liniowe jest diagonalizowalne. Na przykład obrót $R_{\alpha}:{\mathbb{R}}^2\rightarrow {\mathbb{R}}^2$ wokół $O$, o kąt $\alpha\in(0,\pi)$ nie jest diagonalizowalny, bo nie ma żadnych wektorów własnych.

W następnym rozdziale zajmiemy się problemem, jak znaleźć wektory własne i wartości własne $F$.


next up previous
Next: 8. Diagonalizacja Up: Algebra liniowa II Previous: 6. Wyznacznik, zmiana bazy
Ludomir Newelski 2005-09-21