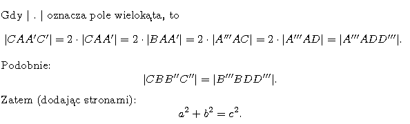
Twierdzenie Pitagorasa

Rysunek utworzono przy użyciu programu C.a.R..

 

 


 

Twierdzenie Pitagorasa przypadek szczególny - trójkąt prostokątny równoramienny (a = b)

Rysunek utworzono przy użyciu programu C.a.R..